• Предмет: Математика
  • Автор: protimur934
  • Вопрос задан 2 года назад

Срочно пожалуйста помогите
По теме из 7 класса
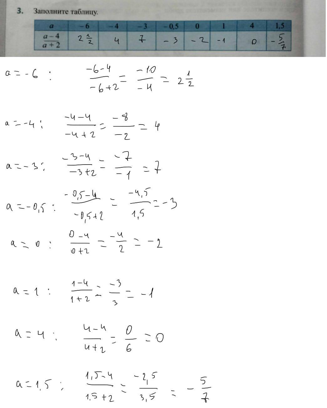
"алгебраическая дробь. сокращение дробей" поробно. дам 35б​

Приложения:

Ответы

Ответ дал: Warlock1
1

Ответ:

типа того

Пошаговое объяснение:

Приложения:

protimur934: Спасибо большое. ты меня выручил
Вас заинтересует