• Предмет: Математика
  • Автор: garagulovat
  • Вопрос задан 2 года назад

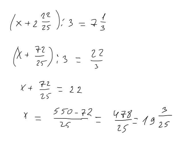
уравнение (Х+2 целых 22/25):3=7 целых 1/3

Ответы

Ответ дал: Warlock1
0

Ответ:

типа того

Пошаговое объяснение:

Приложения:
Ответ дал: veronikaprozecka
0

Ответ смотри на фото)))

Приложения:
Вас заинтересует