• Предмет: Алгебра
  • Автор: katahvila1311
  • Вопрос задан 2 года назад

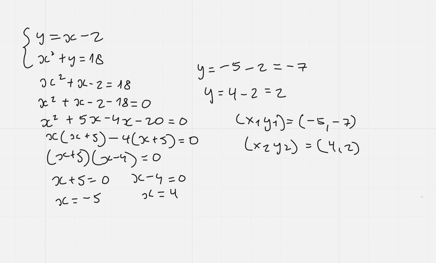
y=x-2
x²+y=18
системні рівняння будь ласка швидше​

Ответы

Ответ дал: broomspun1
1

Ответ:

можно лучший ответ пж (коронку). спасибо

Объяснение:

Приложения:
Вас заинтересует