• Предмет: Алгебра
  • Автор: Alexander003
  • Вопрос задан 2 года назад

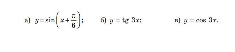
Найдите область определения функции

Приложения:

Ответы

Ответ дал: NNNLLL54
0

Ответ:

a)  Область определения  функции   \bf y=sin(x+\frac{\pi }{6})  - множество

действительных чисел, то есть   \bf x\in (-\infty ;+\infty \, )  .

б) Область определения  функции   \bf y=tg\ 3x  - множество

действительных чисел, для которых выполняется условие

\bf 3x\ne \dfrac{\pi }{2}+\pi n\ ,\ n\in Z\ \ \ \Rightarrow \ \ \ x\ne \dfrac{\pi }{6}+\dfrac{\pi n}{3}\ ,\ n\in Z   .

в)  Область определения  функции   \bf y=cos\ 3x  - множество

действительных чисел, то есть   \bf x\in (-\infty ;+\infty \, )   .

Вас заинтересует