• Предмет: Математика
  • Автор: wekooq
  • Вопрос задан 2 года назад

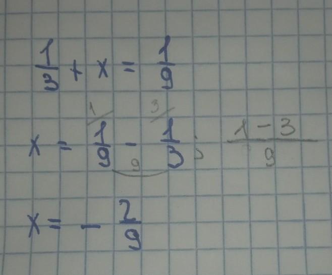
ров"яжіть рівняння: 1/3+х=1/9
помогите!!

Ответы

Ответ дал: evaava143
2

Ответ:

 \times  =    - \frac{2}{9}

Пошаговое объяснение:

на фото

Приложения:
Вас заинтересует