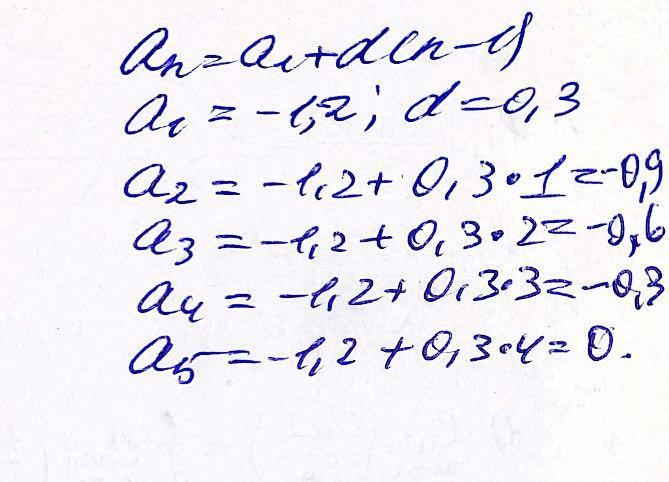
Знайдіть чотири перших члени арифметичної прогресії (an), перший член якої a1=-1,2, а різниця d=0,3.
Ответы
Ответ дал:
3
дивіться фото.........................
Приложения:

artemmmm58668:
Допоможіть будь ласочка з алгеброю даю 50 балів
Ответ дал:
6
Вас заинтересует
1 год назад
1 год назад
1 год назад
3 года назад
3 года назад
8 лет назад
8 лет назад