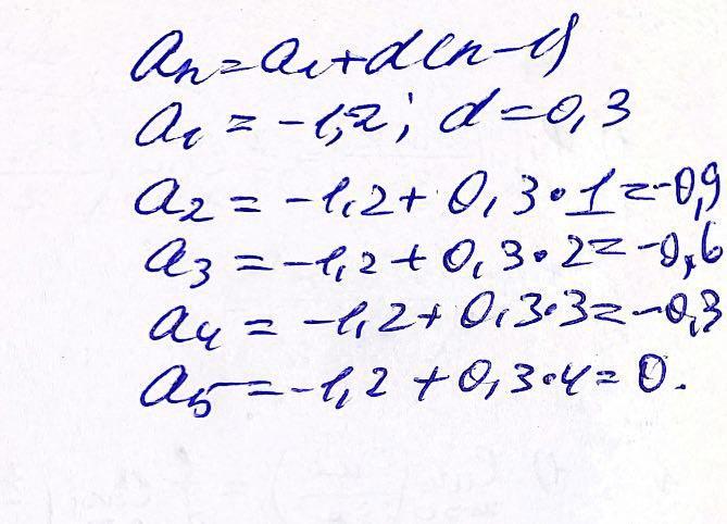
Знайдіть чотири перших члени арифметичної прогресії (an), перший член якої a1=-1,2, а різниця d=0,3.
Ответы
Ответ дал:
2
дивіться фото............................
Приложения:

lolayoulhhghh:
Добрый день помогите пожалуйста с алгеброй если можете для меня очень важна эта робота, задание у меня в профиле.
Вас заинтересует
1 год назад
1 год назад
3 года назад
8 лет назад
8 лет назад