• Предмет: Математика
  • Автор: babalyk12
  • Вопрос задан 2 года назад

ПОМОГИТЕ СРОЧНО РЕШИТЬ!ДАЮ 100 БАЛОВ

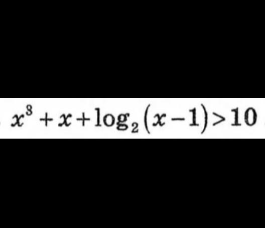
Помогите решить неравенство

Приложения:

Ответы

Ответ дал: lolipupP
0

x > 1

f(x) = x⁸ + x + log²(x - 1) - 10.

Вычислим производную функции f(x):

f'(x) = 8x⁷ + 1 + 2log(x - 1)/(x - 1)

8x⁷ + 1 + 2log(x - 1)/(x - 1) = 0

2log(x - 1)/(x - 1) = -1 - 8x⁷

log(x - 1) = (1 + 8x⁷)/(1 - x)

x - 1 = 10^( (1 + 8x⁷)/(1 - x) )

Полученное уравнение решить аналитически не удается, поэтому воспользуемся численными методами для нахождения корней. Заметим, что x > 1, поэтому можно использовать метод половинного деления, начиная поиск с интервала [1, 2]:

при x ≈ 1, f(x) < 0

при x ≈ 1,28, f(x) > 0

при x ≈ 1,29, f(x) < 0

Таким образом, на интервале [1, 1.28] функция f(x) отрицательна, на интервале [1.28, 1.29] - положительна, на интервале [1.29, ∞) - отрицательна.

решением исходного неравенства является множество всех x > 1, кроме интервала [1.28, 1.29]:

x ∈ (1, 1.28) ∪ (1.29, +∞)


babalyk12: Там x в 3 степени
babalyk12: А не в 8
lolipupP: ща
Вас заинтересует