• Предмет: Математика
  • Автор: kseniya18092011
  • Вопрос задан 2 года назад

Помогите пожалуйста решить !!! 4 Не НАДО. Заранее спасибо

Приложения:

Ответы

Ответ дал: Warlock1
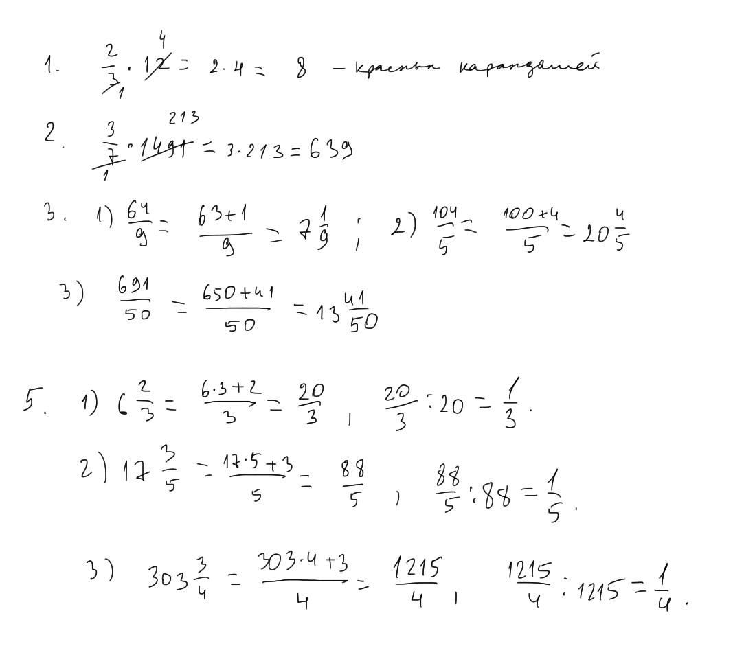
1

Ответ:

Пошаговое объяснение:

Честно говоря, не очень понимаю что в 5 надо сделать...

Приложения:

kseniya18092011: Только как получилось что две третьих умножить на 12 ровно 8?
kseniya18092011: Можешь объяснить 1 и 2?
kseniya18092011: А то я всего то в 5 классе и умножение не проходили!
Warlock1: так понятней?
kseniya18092011: Как?
kseniya18092011: А понятно
Warlock1: ну я подредактировал ответ
kseniya18092011: Спасибо огромное ♥️
Warlock1: в 1) 3 в знаменателе первой дроби и 12 во второй делим на 3. остаётся 2*4=8
kseniya18092011: Спасибо
Вас заинтересует