• Предмет: Алгебра
  • Автор: Ukrainian20
  • Вопрос задан 2 года назад

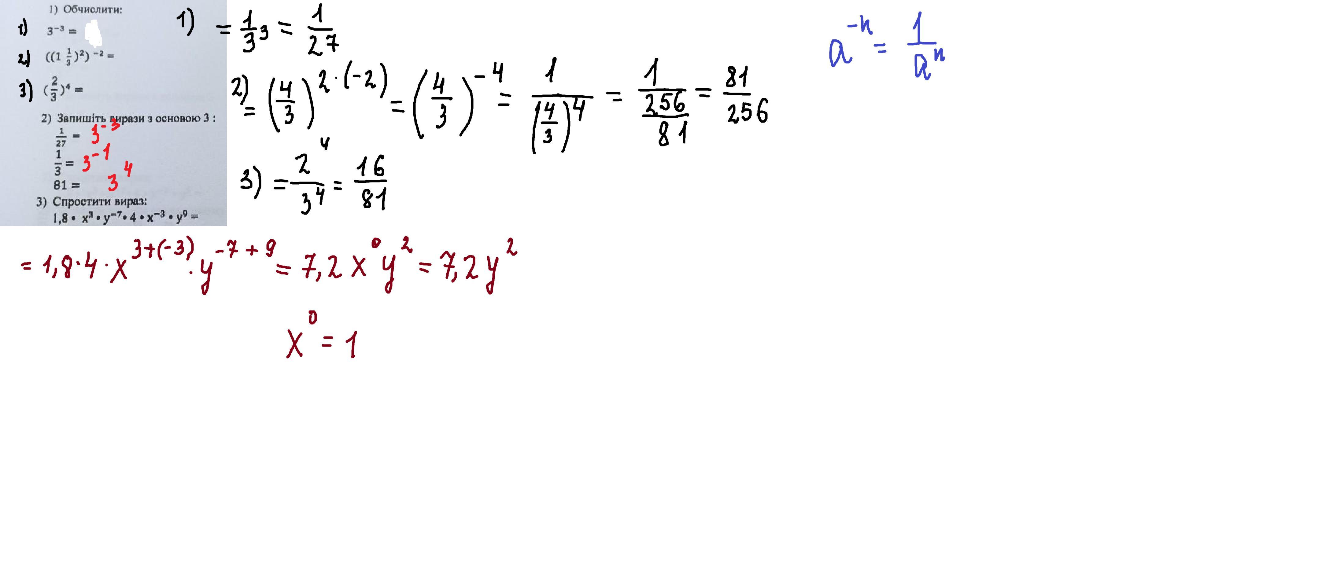
СРОЧНО!!!! ДАЮ 40 БАЛІВ!!!!Виконати 3 завдання
8 клас

Приложения:

Ответы

Ответ дал: parus77
1

Ответ:

Объяснение:

решение с ответами внизу,применяем св-ва степеней

Приложения:

nohopo880: помогите пожайлуста
Вас заинтересует