• Предмет: Алгебра
  • Автор: ninareyzvih
  • Вопрос задан 10 лет назад

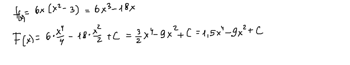
Найти общий вид первообразной y = 6x(x^2-3)

Ответы

Ответ дал: esmilya
0
Если понравилось решение - нажимай "спасибо" и "лучший" (рядом с кнопкой "спасибо") :)
Приложения:
Вас заинтересует