• Предмет: Алгебра
  • Автор: lerikabersimenko
  • Вопрос задан 2 года назад

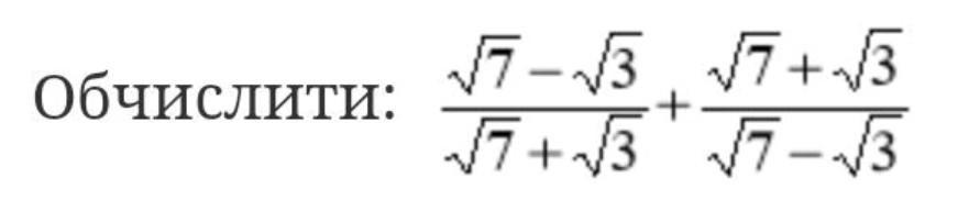
Обчислити.
Приклад на фото.​

Приложения:

Ответы

Ответ дал: raisakovpakmash
0

розв'язок завдання і відповіді на фото

Приложения:
Вас заинтересует