• Предмет: Алгебра
  • Автор: 19litva61tver
  • Вопрос задан 2 года назад

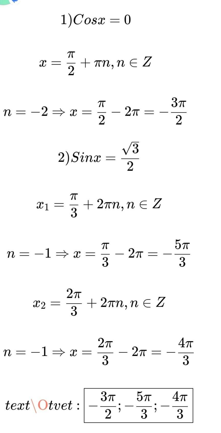
Решите пж прикрепленный файл

Приложения:

Ответы

Ответ дал: sashaozden
0

Ответ:

там всё разброс и некоторое я не знаю

Приложения:
Вас заинтересует