• Предмет: Физика
  • Автор: whiliskas
  • Вопрос задан 2 года назад

СРОЧНО
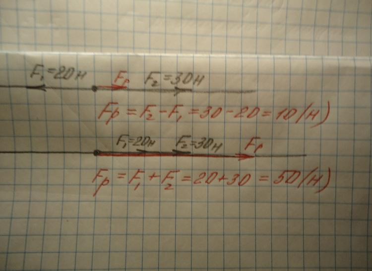
На тіло вздовж однієï прямої діють дві сили: 20 і 30 кн. Зобразіть ці сили графічно для випадків, коли їх рівно- дійна дорівнює 10 і 50 кН.​

Ответы

Ответ дал: ahayo0405
0

Ответ:

відповідь на фото.

Объяснение: пояснення на фото.

Приложения:
Вас заинтересует