• Предмет: Алгебра
  • Автор: ilya29rrr
  • Вопрос задан 10 лет назад

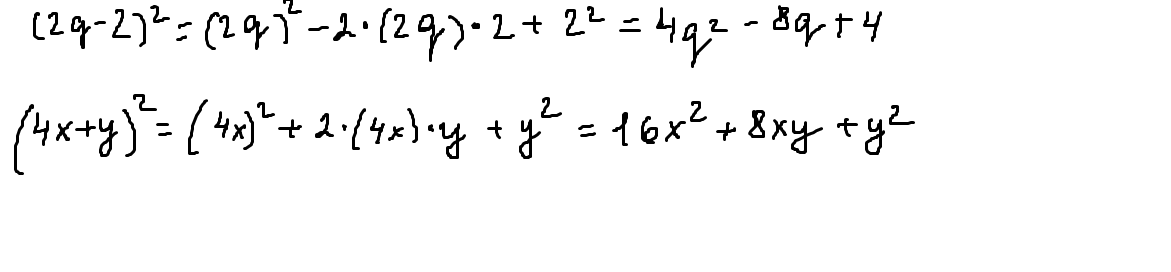
(2q-2)в квадрате

(4x+y) в квадрате

 

Ответы

Ответ дал: malahaeviwan
0
(2q-2)^2=4q^2-8q+4
(4x+y)^2=16x^2+8xy+y^2
Ответ дал: esmilya
0
Если понравилось решение - нажимай "спасибо" и "лучший" (рядом с кнопкой "спасибо") :)
Приложения:
Вас заинтересует