• Предмет: Математика
  • Автор: Lily2015
  • Вопрос задан 2 года назад

100 баллов за достойный ответ
спам бан

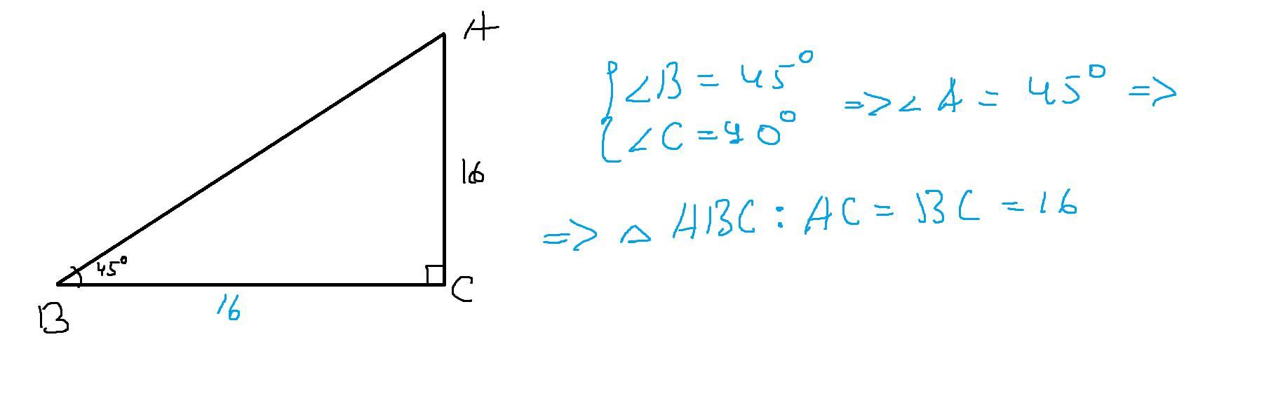
АС⟂ВС ∠В=45° АС=6см. Найти ВС. Дано, решение, найти + рисунок. ​

Ответы

Ответ дал: polarkat
1

Треугольник получился равнобедренным и прямоугольным

Дано нам было то, что две прямые AC и BC перпендикулярны, то есть пересекаются под углом в 90 градусов. Так же известно, что угол B, который получается, если соединить точки A и B равен 45 градусов. Отрезок, а теперь уже и катет в прямоугольном треугольнике  равен AC=6 см. Найти нужно было второй катет

Приложения:
Вас заинтересует