• Предмет: Математика
  • Автор: Milisaraaa
  • Вопрос задан 2 года назад

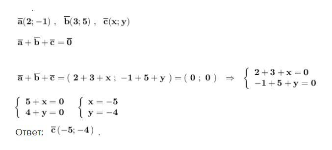
3. Дано: ā(2; -1), b(3; 5), č(x; y), a + b + c = 0. Знайти: x, у.
Допоможіть будь ласка срочно​

Приложения:

Ответы

Ответ дал: NNNLLL54
0

Ответ:

Координаты суммы векторов равны сумме соответствующих координат заданных векторов .

\bf \overline{a}(2;-1)\ ,\ \ \overline{b}(3;5)\ ,\ \ \overline{c}(x;y)\\\\\overline{a}+\overline{b}+\overline{c}=\overline{0}\\\\\\\overline{a}+\overline{b}+\overline{c}=(\ 2+3+x\ ;\ -1+5+y\ )=(\ 0\ ;\ 0\ )\ \ \Rightarrow \ \ \left\{\begin{array}{l}\bf 2+3+x=0\\\bf -1+5+y=0\end{array}\right  

\left\{\begin{array}{l}\bf 5+x=0\\\bf 4+y=0\end{array}\right\ \ \left\{\begin{array}{l}\bf x=-5\\\bf y=-4\end{array}\right    

Ответ:   \bf \overline {c}\, (-5;-4\, )  .

Приложения:
Вас заинтересует