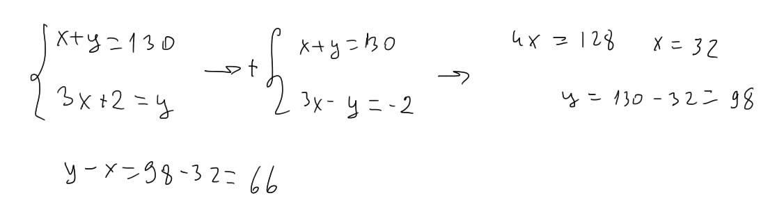
А)Сума двох чисел дорівнює 130.При діленні Більшого з них на менше в частці виходить 3 і в остачі 2.Чому дорівнює різниця цих чисел?
Ответы
Ответ дал:
1
Ответ:
66
Пошаговое объяснение:
Приложения:

Вас заинтересует
1 год назад
1 год назад
1 год назад
3 года назад
3 года назад
8 лет назад