• Предмет: Математика
  • Автор: dudkanikita76
  • Вопрос задан 2 года назад

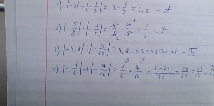
установіть відповідність між виразами 1-4 та їх числовими значенням А-Д якщо А)2,5; Б)16; В) 13/15; Г) 1/2; Д) 8/1509
1) |-3|-|-1/2|
2)|-5/8|×|-4/5|
3)|-4,8|÷|-3/10|
4)|-1/6|+|-7/10|​

Ответы

Ответ дал: gog41586
0

Відповідь: на фото

Покрокове пояснення: на фото

Приложения:
Вас заинтересует