• Предмет: Алгебра
  • Автор: dar33trlllil
  • Вопрос задан 2 года назад

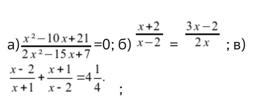
помогите пожалуйста!!!

Приложения:

Ответы

Ответ дал: Аноним
0

вот, данный ответ на фото, думаю всё правильно.

Приложения:
Вас заинтересует