Решите двойные неравенства. Запишите множество их целых ре-
шений.
1) 3+4|< 5;
3) 2 < |x-1|< 5
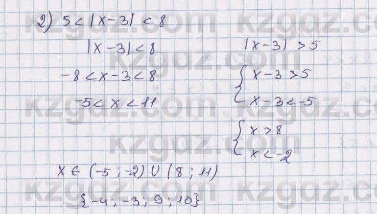
2) 5 < |x - 3| < 8;
Пжжжжж срочно !!!! Дам 40баллов Вот номер 1020!!!!!
Приложения:

Ответы
Ответ дал:
1
Ответ:
всё правильно
лучший ответ пж
Приложения:



sahovaleksandr529:
а где 1,3
Вас заинтересует
1 год назад
1 год назад
1 год назад
8 лет назад