• Предмет: Математика
  • Автор: Аноним
  • Вопрос задан 2 года назад

боже допоооможіііть прошуууууу!!!!!!!!

Приложения:

Ответы

Ответ дал: parus77
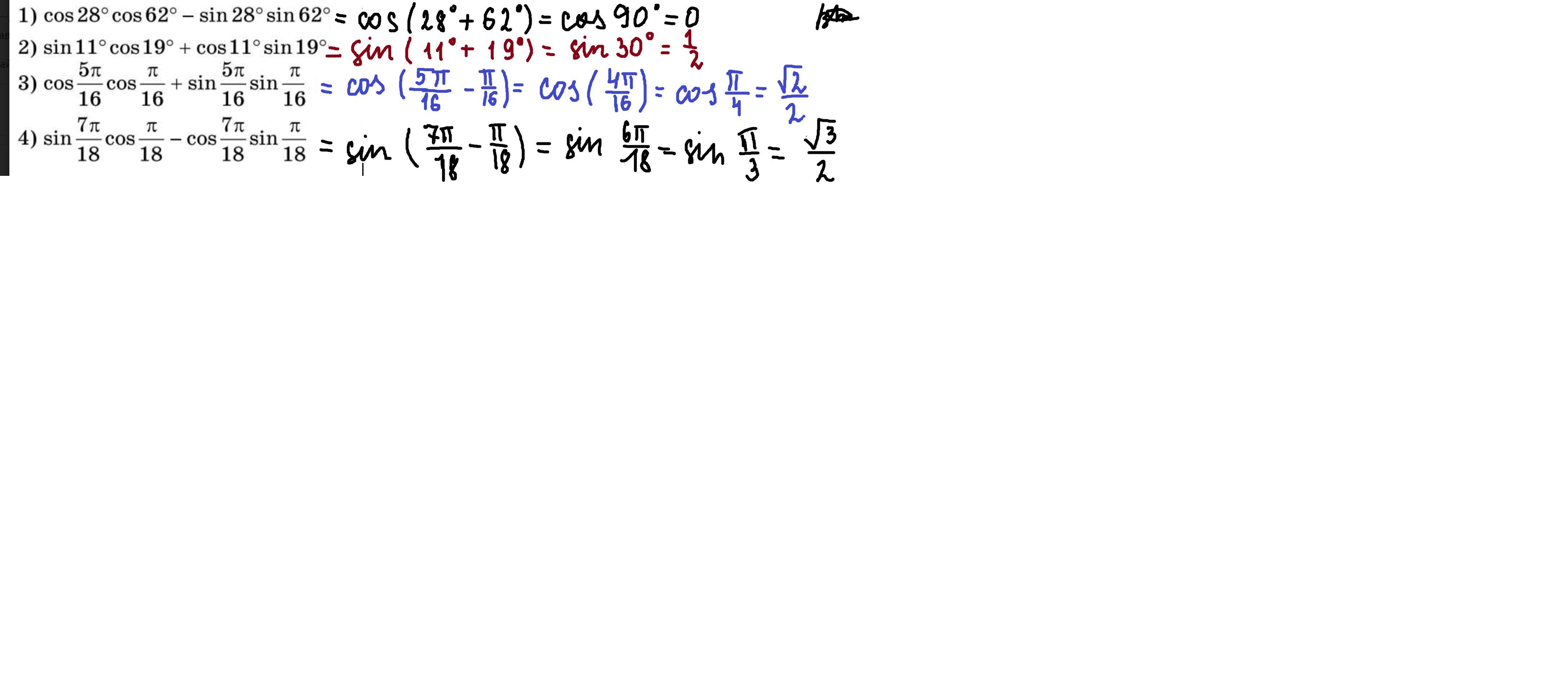
1

Ответ:

внизу

Пошаговое объяснение:

формулы внизу и табл.значений

Приложения:
Вас заинтересует