Ответы
Ответ дал:
0
Получится вот так :)
Приложения:

Ответ дал:
0
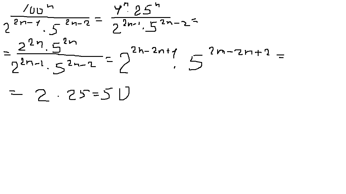
во вложении
_________________________________
_________________________________
Приложения:

Вас заинтересует
2 года назад
8 лет назад
8 лет назад
10 лет назад
10 лет назад