• Предмет: Математика
  • Автор: n6233327
  • Вопрос задан 2 года назад

помогите пожалуйста разобраться с этим заданием по математике 6 класс​

Приложения:

Ответы

Ответ дал: suhomlinovanasta27
1

Ответ:

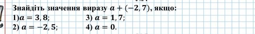
1)1.1

2)-5.2

3)-1

4)-2,7

Пошаговое объяснение:

1)3,8+(-2,7)=1,1у тебе було 3,8 гривні і додалось 2,7 боргу, віддаєш борг і залишається 1,1 гривня

2)-2,5+(-2,7)=-5,2 у тебе боло 2,5 боргу,а тут додалось ще 2,7 боргу,разом -5,2

3)1,7+(-2,7)=-1,в тебе було 1,7 гривня,та 2,7 боргу, віддаєш 1,7 гривень і залишається ще 1 гривня боргу

4)0+(-2,7)=2,7 тут я думаю зрозуміло


n6233327: ну смотри
n6233327: там дано число эти куда числа идут тогда
suhomlinovanasta27: непоняла вопрос,какие числа
n6233327: а всё я понял я думал просто что там написано якщо там например а ровно минус 3 ,1 я просто дыбил
suhomlinovanasta27: я в 4 ошиблась,минус забыла поставить
n6233327: так там стоит минус
suhomlinovanasta27: в ответе да,а в объяснении нет
n6233327: спасибо большое
n6233327: в обяснении это не важно
n6233327: пожалуйста подпишись на меня а я на тебя будешь мне помогать
Вас заинтересует