• Предмет: Математика
  • Автор: nikitaivasko459
  • Вопрос задан 2 года назад

СРОЧНООООО ПОМОГИТЕ ​

Приложения:

Ответы

Ответ дал: mahmudova767631
0

Ответ:

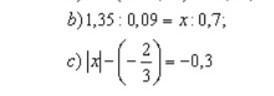
Пошаговое объяснение:можно сделать и пропорций и так но лучше всего сделать с пропорций (1,35*0,7):0,09=10,5. -9/30+(-20/30)=29/


nikitaivasko459: 2 приклад, просто дорівнює 29????
mahmudova767631: 29/30
Вас заинтересует