• Предмет: Математика
  • Автор: lisalizeinfinity
  • Вопрос задан 2 года назад

-2 6/7+(-3 9/14)

пожалуйста!!

Ответы

Ответ дал: unknownMP
1

Ответ:

 - 6 \frac{1}{2}

Пошаговое объяснение:

 - 2 \frac{6}{7}  + ( - 3 \frac{9}{14} ) =  - 2 \frac{6}{7}  - 3 \frac{9}{14}  =  - (2 \frac{6}{7}  + 3 \frac{9}{14} ) =  -  ((2 + 3) + ( \frac{6}{7}  +  \frac{9}{14} )) =  - (5 + ( \frac{6}{7}  +  \frac{9}{14} )) =  - (5 +  \frac{3}{2} ) =  - (5 + 1 \frac{1}{2} ) =  - (5 + 1 +  \frac{1}{2} ) =  - (6 +  \frac{1}{2} ) =  - 6 \frac{1}{2}

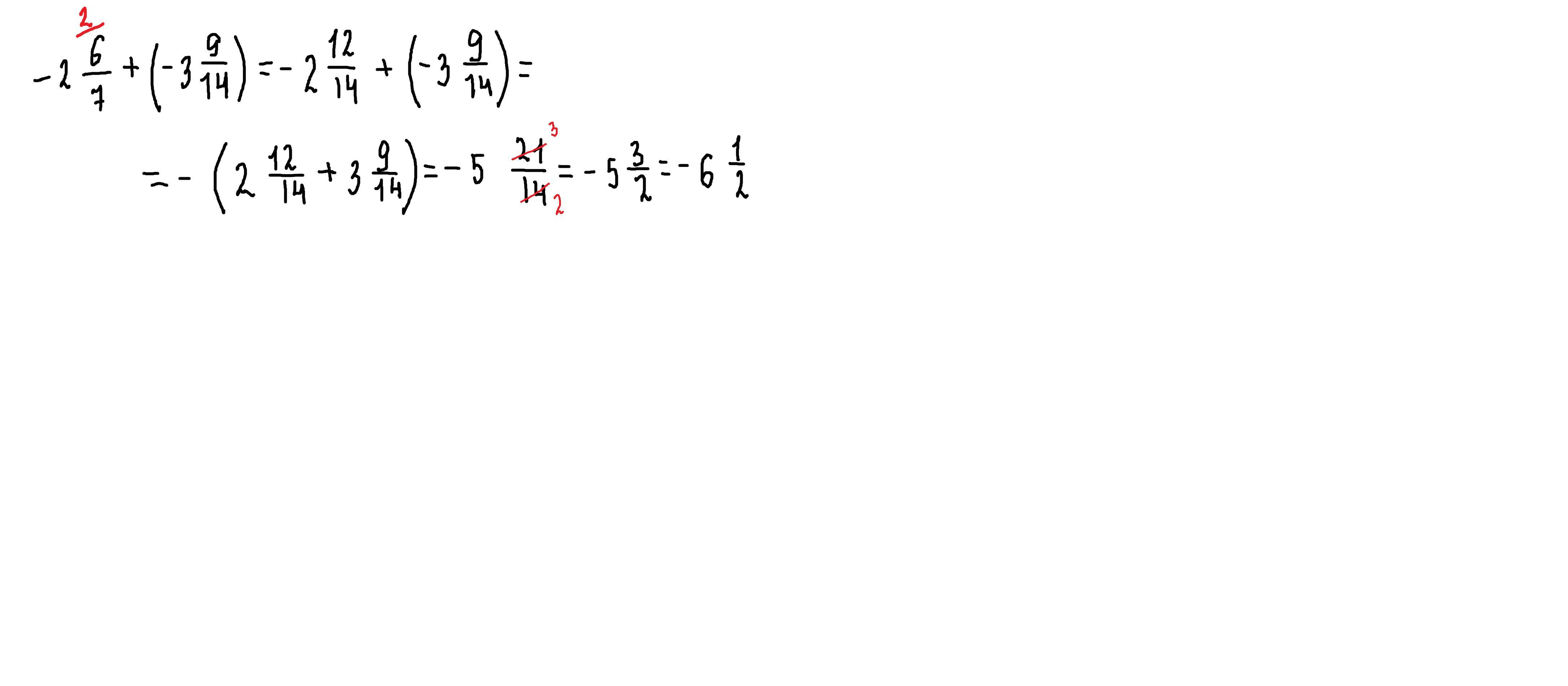
Ответ дал: parus77
1

Ответ:

-6 1/2

Пошаговое объяснение:

решение внизу

Приложения:
Вас заинтересует