• Предмет: Математика
  • Автор: mulersofia901
  • Вопрос задан 2 года назад

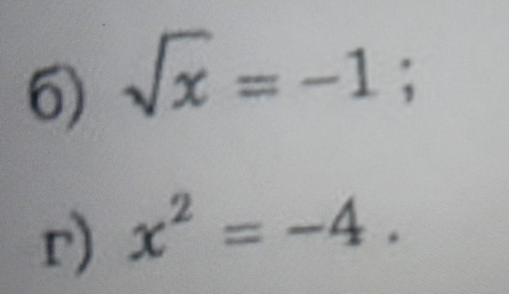
Розв'яжіть рівняння (Решите уровнение):
ПОМОГИТЕ ПОЖАЛУЙСТА!!!! ДАЮ 60 БАЛЛОВ!!!​

Приложения:

Ответы

Ответ дал: giracl238
0

Ответ:

1. Уравнение ложное

2.x^2=-4

x=±2i

x=-2i

x=2i

Пошаговое объяснение:

Вас заинтересует