Ответы
Ответ дал:
1
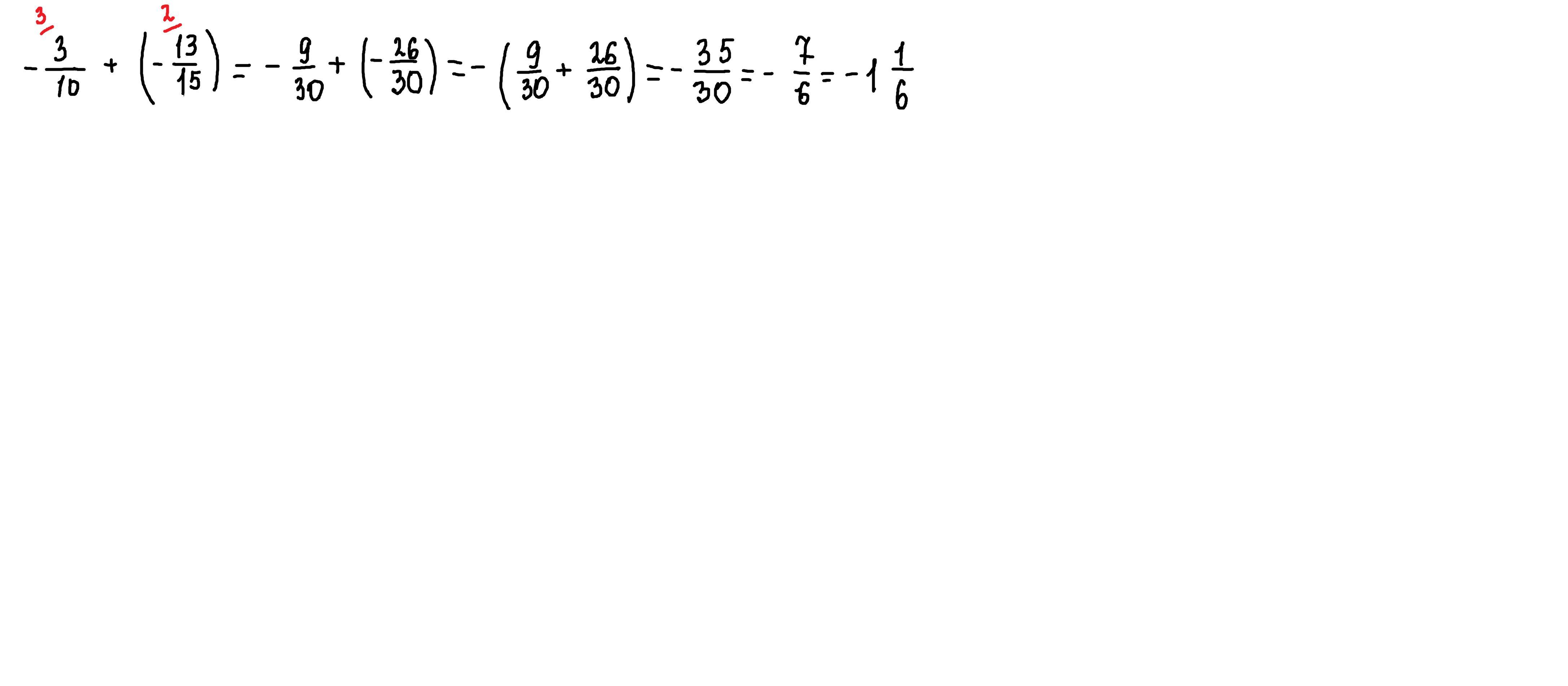
Ответ:
-1 1/6
Пошаговое объяснение:
решение внизу
Приложения:

Вас заинтересует
1 год назад
1 год назад
1 год назад
3 года назад
8 лет назад