• Предмет: Алгебра
  • Автор: amangultabansieva
  • Вопрос задан 2 года назад

(2а+x^2)(2a-x^2
ПОМОГИТЕ пожалуйста

Ответы

Ответ дал: ami5960
0
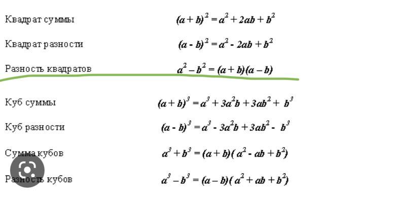
Нужно использовать следующую формулу
Приложения:

ami5960: (2а + х^2) (2а - х^2)= 4а^2 - х^4
Вас заинтересует