Ответы
Ответ дал:
1
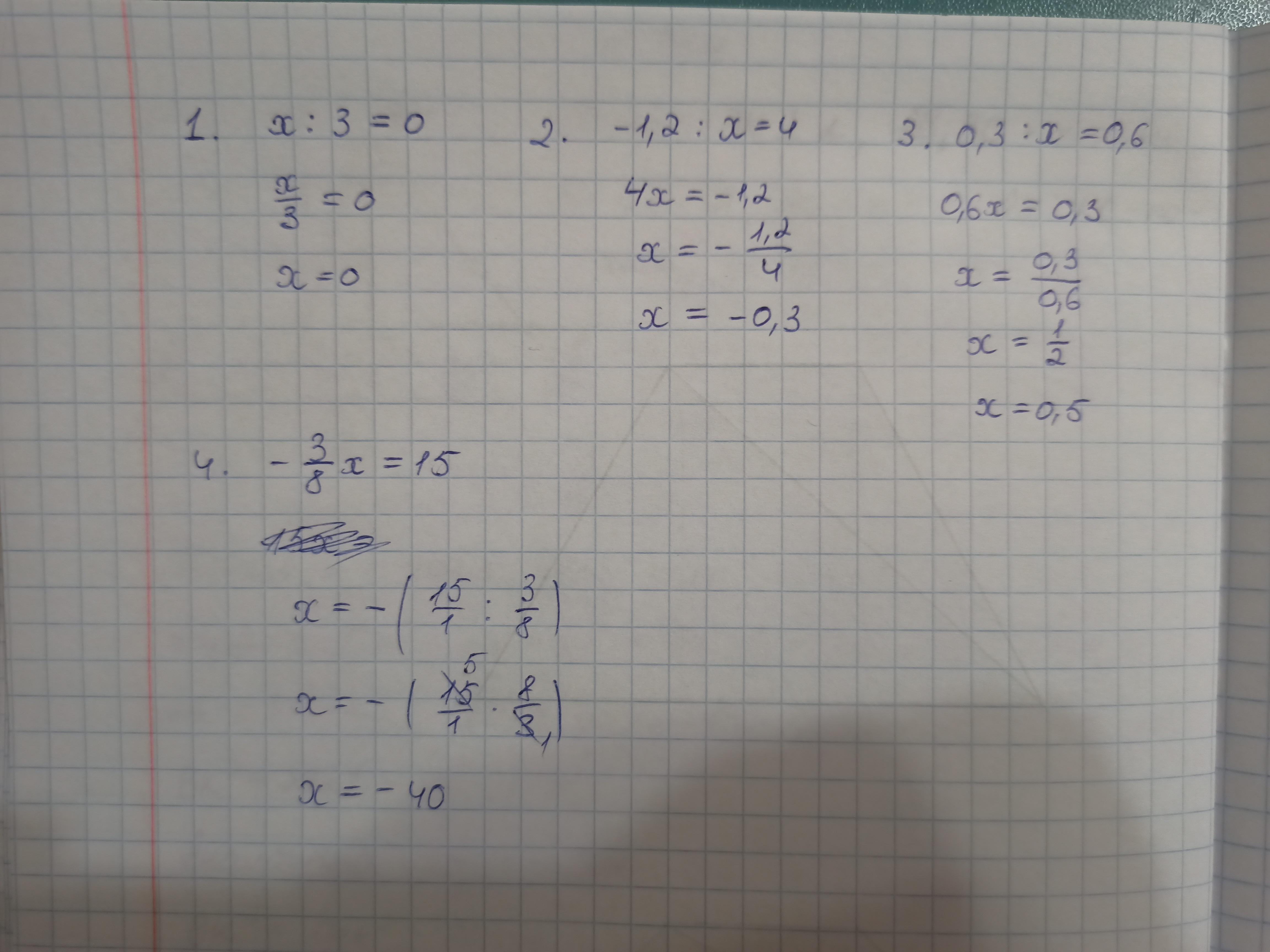
1)
х:3=0
х=0:3
х=0
2)
-1,2:х=4
х= -1,2:4
х= -0,3
3)
0,3:х=0,6
х=0,3:0,6
х=3:6
х=0,5
4)
-3/8х=15
х=15:(-3/8)
х=15•(-8/3)
х= -40
Ответ дал:
0
Ответ:
Пошаговое объяснение:
Приложения:

Вас заинтересует
1 год назад
1 год назад
1 год назад
1 год назад
3 года назад
8 лет назад