Ответы
Ответ дал:
1
Ответ:
1) a^3+c^3=(a+c)(a^2-ac+c^2)
2) x^2-6x+9=0
(x-3)^2=0
x=3
3) 7y^2+14y+7=7(y^2+2y+1)=7(y+1)^2
4) x^2-4=0
x^2=4
x=±2
5) 1 - Г
2 - Д
3 - Б
4 - А
6)
1. x^3+125y^3=(x+5y)(x^3-5xy+25y^2)
2. -5x^2+30x-45=-5(x-3)^2
3. a^5-a=a(a^4-1)=a(a^2-1)(a^2+1)=a(a-1)(a+1)(a^2+1)
4. a+b-a^2-b^2=a(1-a)+b(1-b)
5. x^2+8xy+16y^2-1=(x+4y)^2-1=(x+4y-1)(x+4y+1)
6. 5x^3-5y^3=5(x^3-y^3)=5(x-y)(x^2+xy+y^3)
7)
1. x^3-64x=0
x(x^2-64)=0
x=0
x^2-64=0
x^2=64
x=±8
2. x^2+4x+4=0
(x+2)^2=0
x = -2
3. x^2-4x-5(4-x)=0
x^2-4x-20+5x=0
x^2+x-20=0
D=b^2-4ac=1+4*20=81
=9
x1 = (-1 + 9)/2=4
x2= (-1 - 9)/2=-5
4. x^3+2x^2-18x-36=0
x^2(x+2)-18(x+2)=0
(x^2-18)(x+2)=0
x^2-18=0
x^2=18
x=±
x+2=0
x=-2
5. x^2-6x+8=0
D=36-32=4
x1 = (6 + 2) / 2 = 4
x2 = (6 - 2) / 2 = 2
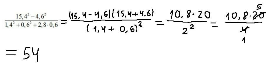
8) см. изображение
Приложения:

Вас заинтересует
1 год назад
1 год назад
3 года назад
3 года назад
8 лет назад
8 лет назад