• Предмет: Алгебра
  • Автор: Marisabel10061999
  • Вопрос задан 10 лет назад

упростите ...подробное решение

Приложения:

Ответы

Ответ дал: Ekaterina1819
0
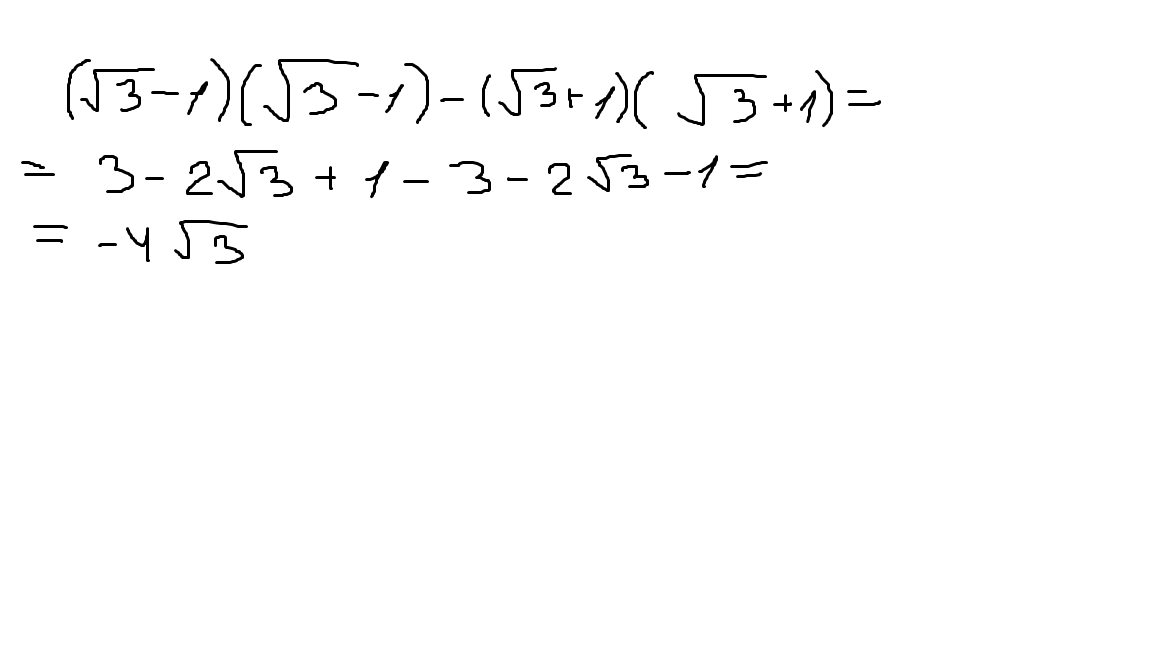
Получится вот так :)
Приложения:
Ответ дал: Marisabel10061999
0
спасибо...осмотри я там сегодня добавила много задач..может чтото у тебя получится решить..
Ответ дал: misshelo
0
может быть так.не знаю)
Приложения:
Вас заинтересует