• Предмет: Математика
  • Автор: anechkaviktorivna
  • Вопрос задан 2 года назад

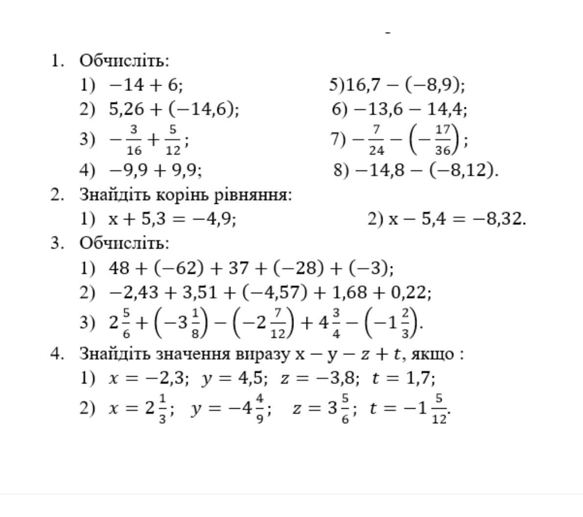
1. Обчисліть:
Помогите прошу даю 25 балов!

Приложения:

Ответы

Ответ дал: evafedorenko25
1
1) -8
2) -9,34
3) 11/48
4) 0
5)25,6
6) -28
7) 13/72
8) 6,68

evafedorenko25: это если что ответ на первое задание
Вас заинтересует