• Предмет: Математика
  • Автор: kristinauk6781
  • Вопрос задан 2 года назад

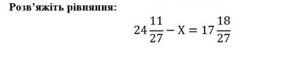
помогите пожалуйста, очень срочно, дам все баллы​

Приложения:

Ответы

Ответ дал: tetamotatetyamotya
1

Ответ:

вот решение

Пошаговое объяснение:

решение ниже

Приложения:
Вас заинтересует