• Предмет: Алгебра
  • Автор: tenivojstalker
  • Вопрос задан 2 года назад

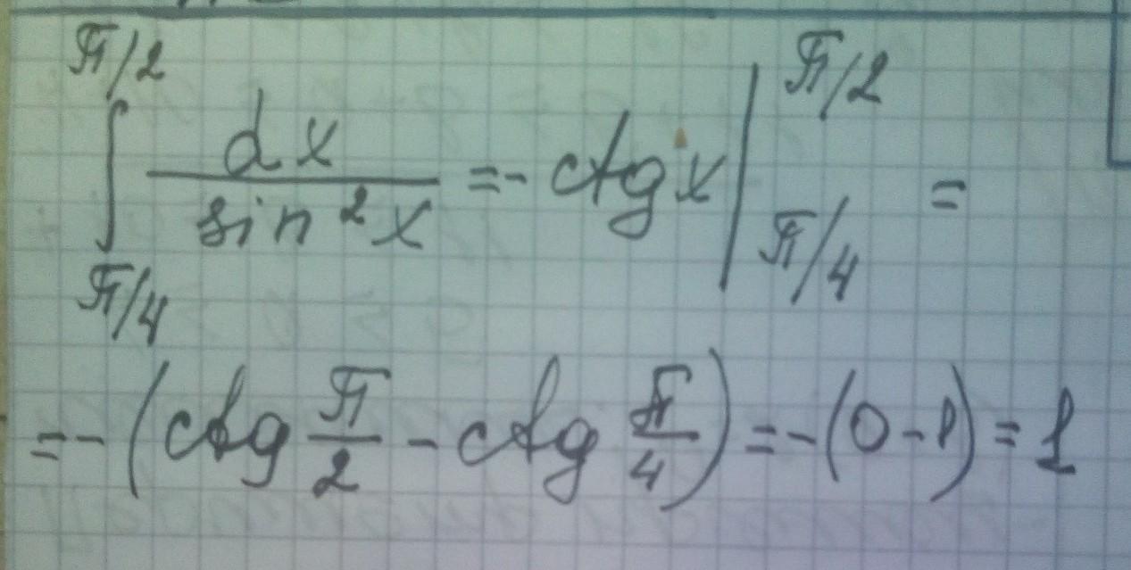
Обчисліть інтеграл п/2 f п/4 dx/sin²x

Приложения:

Ответы

Ответ дал: manyny06
0

Ответ:

решение смотри на фотографии

Приложения:

ivahinadasa: а если такой же пример но не 2 а 3 а не 4 а 6 какой ответ?
Вас заинтересует