• Предмет: Математика
  • Автор: donganyegor
  • Вопрос задан 2 года назад

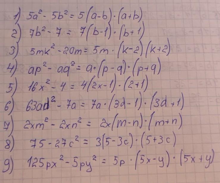
Срочно! Розкладіть на множники
Будь ласка

Приложения:

Ответы

Ответ дал: zenanesterenko168
1

Відповідь до цих прикладів, записав не в тому порядку, але ролі не міняє))

Приложения:
Ответ дал: alinakujanova1849
0

Ответ:

надеюсь все понятно)

Пошаговое объяснение:

впринцепи здесь все легко надеюсь помогла))

Приложения:
Вас заинтересует