• Предмет: Математика
  • Автор: lolipopopopo
  • Вопрос задан 2 года назад

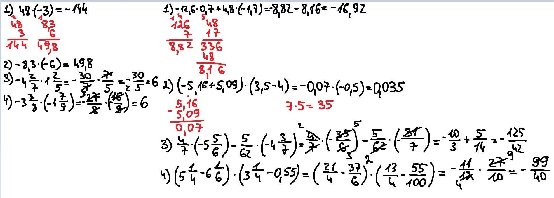
Виконати 90,91 ДОПОМОЖІТЬ 40 баллов (если Можно с обяснением)

Приложения:

Ответы

Ответ дал: maikannaandr
0

Відповідь:

Покрокове пояснення:

Приложения:
Вас заинтересует