• Предмет: Алгебра
  • Автор: vikysialove993
  • Вопрос задан 2 года назад

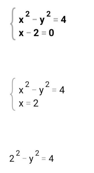
Розв’язати методом підстановки

Приложения:

Ответы

Ответ дал: xigyocoyzhpxkgyp
0

Ответ:

(x , y) = (2 , 0)

Объяснение:

на фото выше

Приложения:
Вас заинтересует