• Предмет: Математика
  • Автор: timkakrut723
  • Вопрос задан 2 года назад

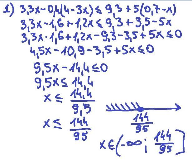
номер 1001 1. решите неравенства​

Приложения:

Ответы

Ответ дал: maikannaandr
0

Відповідь:

Покрокове пояснення:

Приложения:
Вас заинтересует