• Предмет: Математика
  • Автор: Аноним
  • Вопрос задан 2 года назад

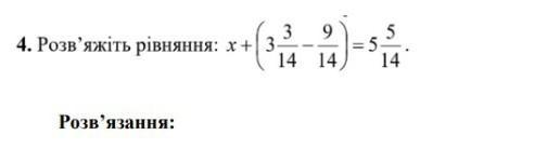
помогите пожайлуста ​

Приложения:

Ответы

Ответ дал: mamizitd
0

Ответ:

Пошаговое объяснение:

відповідь x = 39/14

Ответ дал: malenki122
0

Ответ:

Пошаговое объяснение:

Приложения:
Вас заинтересует