Ответы
Ответ дал:
1
Ответ:
Пошаговое объяснение:
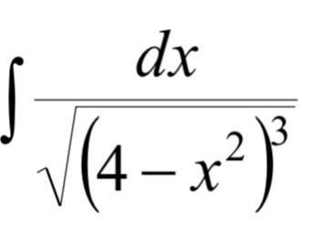
рассмотрите предложенный вариант решения, ответ отмечен зелёным.
Приложения:

Вас заинтересует
1 год назад
1 год назад
1 год назад
1 год назад
3 года назад
8 лет назад