• Предмет: Математика
  • Автор: perecmargarita63
  • Вопрос задан 2 года назад

ДОПОМОЖІТЬ БУДЬ ЛАСКА СРОЧНО ПОТРІБНО​

Приложения:

Ответы

Ответ дал: kimedrik
0

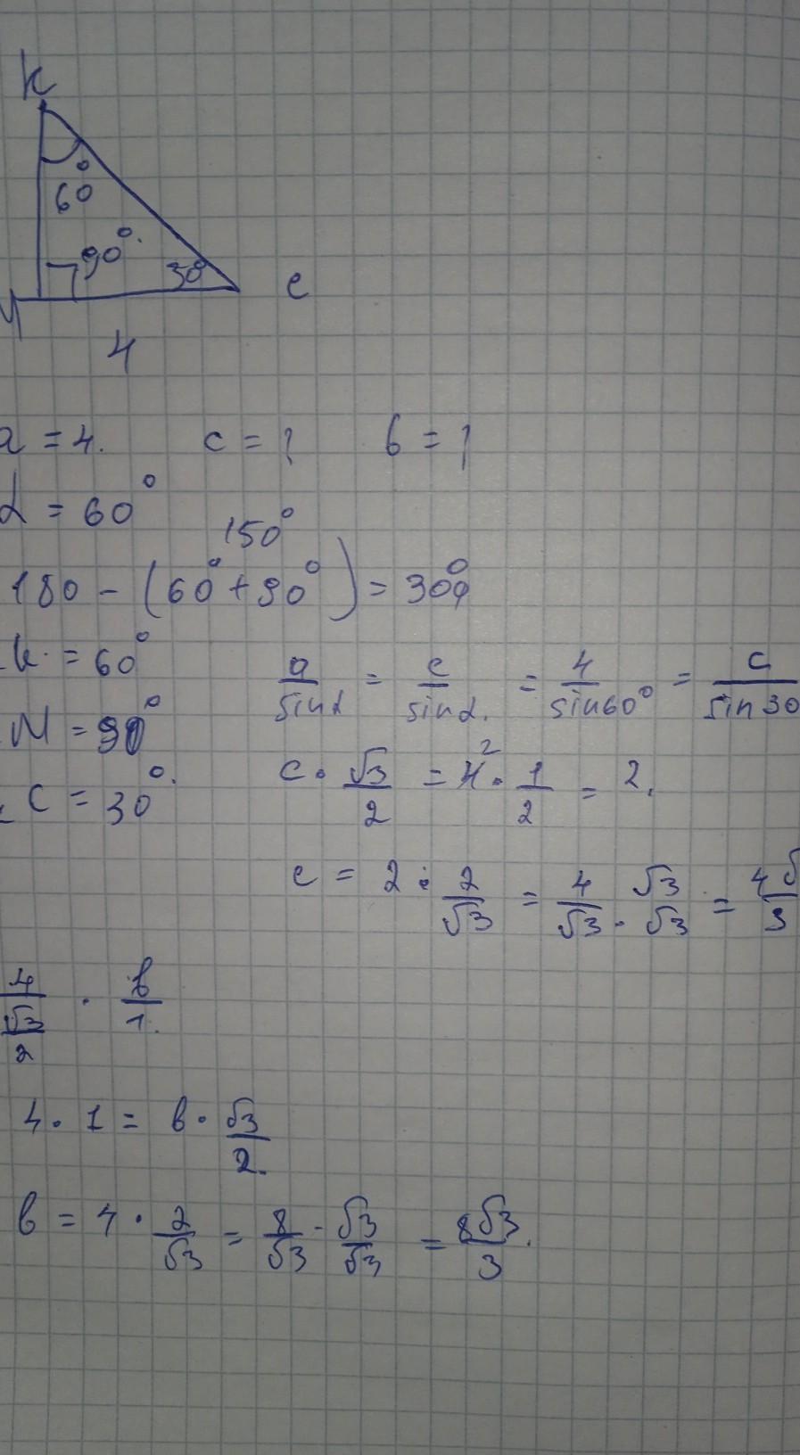
Ответ:

с=4√3/3

в=8√3/3

С=30

М=90

К=60

Приложения:

perecmargarita63: Дякую
Ответ дал: Demonij
0

Ответ:

с=4√ 3/

в=8√ 3/3

вс=30

м=90

к=60

Приложения:
Вас заинтересует