• Предмет: Математика
  • Автор: nikitarkrafter
  • Вопрос задан 2 года назад

даю 25 баллов тому кто решит все что на фото ​

Приложения:

Ответы

Ответ дал: sherbananastasia1508
1

Ответ:

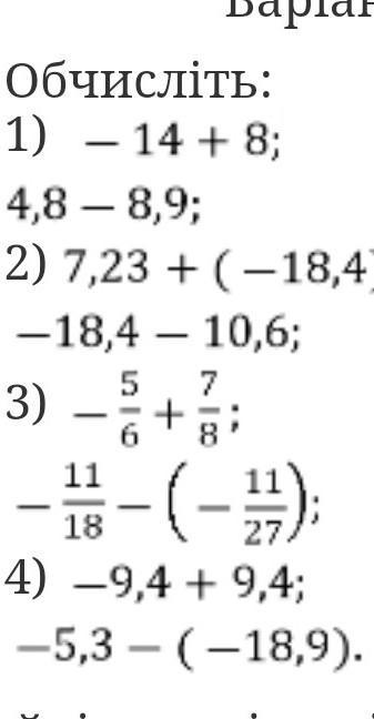
1)-14+8= -6

4,8-8,9= -4,1

2)7,23+(-18,4)=. -11,17

-18,4-10,6= -29

3)-5/7+7/8= 9/56

-11/18а-(-11/27)= -11/54

4)-9,4+9,4= 0

-5,3-(-18,9)= 13.6

Пошаговое объяснение:

думаю всё понятно


sherbananastasia1508: корень уравнения
sherbananastasia1508: а я уже это не помню
nikitarkrafter: а пон
nikitarkrafter: да пофиг давай хотя бы 3-4 задание
nikitarkrafter: тоже нормально будет
sherbananastasia1508: ок
sherbananastasia1508: а ты в каком классе
sherbananastasia1508: просто такие стихи и примеры только в 6
nikitarkrafter: в 6
sherbananastasia1508: Я тож
Вас заинтересует