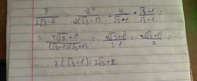
Избавьтесь от иррациональности в знаменателе
A) 1
B) 2√3 + 2
C) 0,5
D) 2√3 - 2
E) √3
Приложения:

Ответы
Ответ дал:
1
Ответ:
решение смотри на фотографии
Приложения:

Ответ дал:
1
Ответ В
Решение:
__________
Решение:
__________
Приложения:

Вас заинтересует
1 год назад
1 год назад
3 года назад
8 лет назад
8 лет назад