Даю 50 балов!!!!!!!!!!!!
Помогите с самостоятельной работы!Нужно сделать 1 вариант))
Приложения:

Ответы
Ответ дал:
1
Ответ:
как-то так
Объяснение:
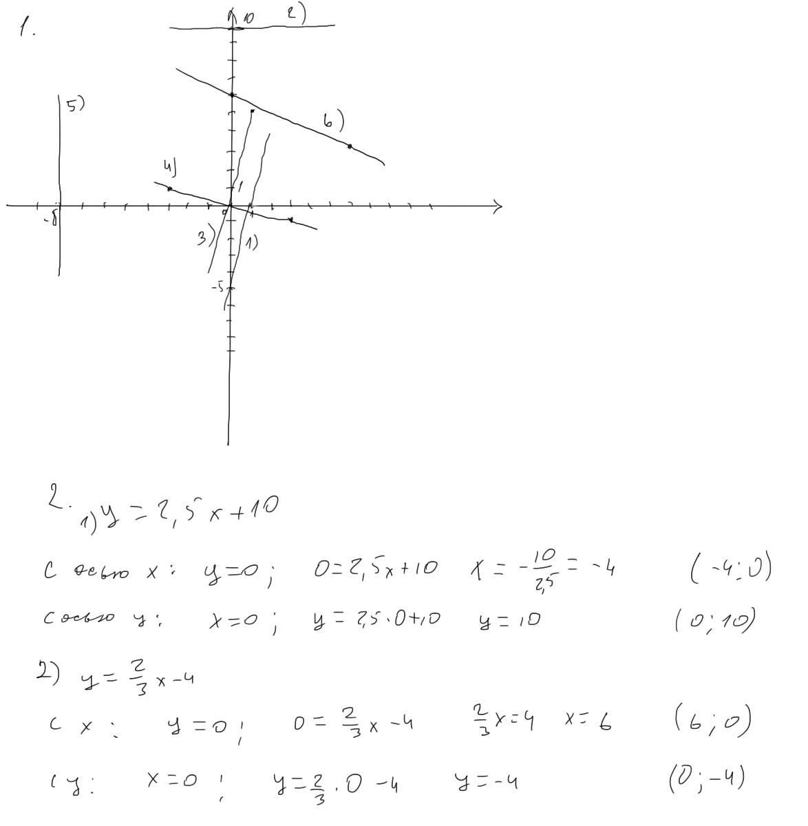
Для построения графиков берёшь две любые точки и проводишь между ними прямую линию. Например, для у=5х-5, можно взять (0;-5) и (1;0)
Приложения:

Вас заинтересует
1 год назад
1 год назад
3 года назад
3 года назад