• Предмет: Математика
  • Автор: liza13112176
  • Вопрос задан 2 года назад

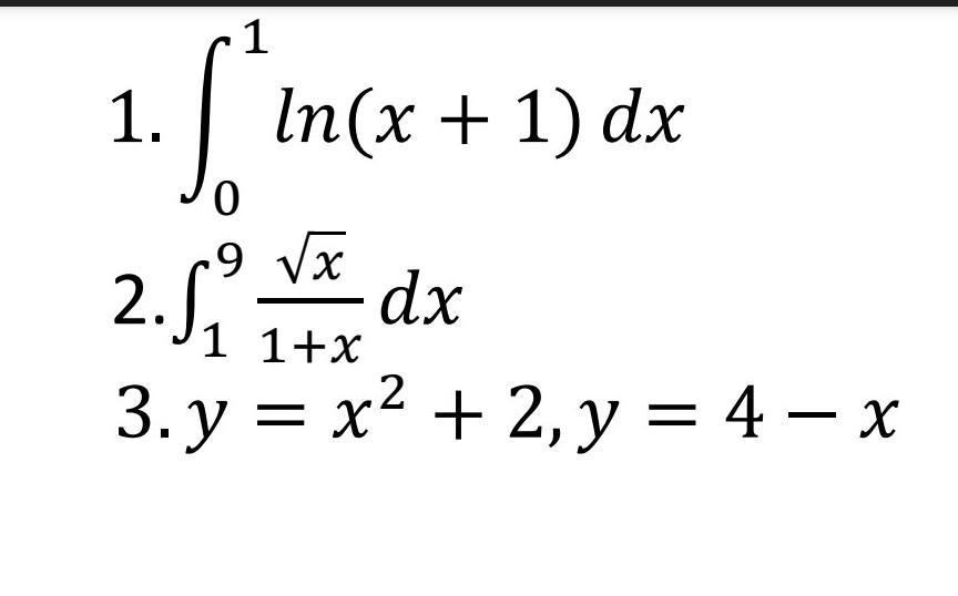
Господи, помоги мне решить эти примеры​

Приложения:

Ответы

Ответ дал: kianakaslanamai2001
0

Ответ:

если где-то неправильно то скажите пожалуйста я перерешаю

Приложения:

liza13112176: Спасибо большое, а можно подстановкой, например u, dv,du,v?
liza13112176: второй примерчик субституцией
Вас заинтересует