• Предмет: Алгебра
  • Автор: vladchemp67399
  • Вопрос задан 2 года назад

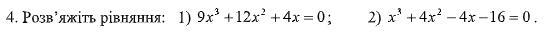
Решите уравнение, за материалом темы: «Застосування різних способів розкладання многочлена на множники»

Приложения:

Ответы

Ответ дал: evgewa85
0

Ответ:

x1.x=-51/4

2.x^3+4x^2-4x-16=0

x^2(x+4)-4(x+4)=0

(x+4)(x^2-4)=0

(x+4)(x-2)(x+2)=0

x1=-4

x2=2

x3=-2


vladchemp67399: Тут ты решил второе уравнение*
vladchemp67399: да?
Вас заинтересует