Ответы
Ответ дал:
0
желаю удачи в учёбе.
Приложения:
Ответ дал:
0
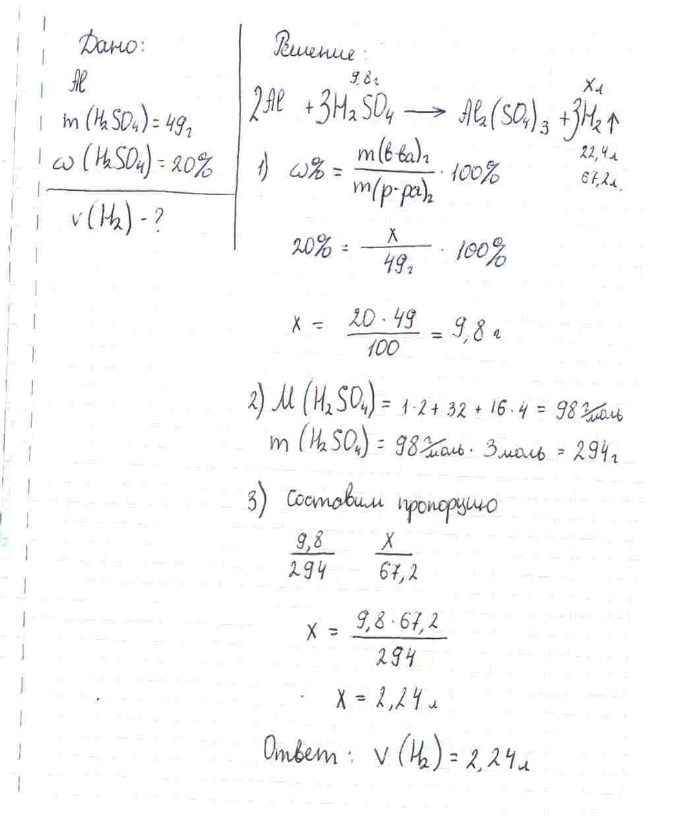
2Al + 3H2SO4 = Al2(SO4)3 + 3H2
1. Находим массу кислоты в растворе:
m(H2SO4) = 20 x 49 / 100 = 9.8 г
2. Находим количество серной кислоты, зная ее массу и молярную массу:
n(H2SO4) = m / M = 9.8 / 98 = 0.1 моль
3. Из уравнения реакции видно, что n(H2SO4) / n(H2) = 3 / 3 (количества равны), значит
n(H2) = 0.1 моль
4. Зная количество водорода, находим его объем:
V(H2) = Vm x n = 0.1 x 22.4 = 2.24 л
1. Находим массу кислоты в растворе:
m(H2SO4) = 20 x 49 / 100 = 9.8 г
2. Находим количество серной кислоты, зная ее массу и молярную массу:
n(H2SO4) = m / M = 9.8 / 98 = 0.1 моль
3. Из уравнения реакции видно, что n(H2SO4) / n(H2) = 3 / 3 (количества равны), значит
n(H2) = 0.1 моль
4. Зная количество водорода, находим его объем:
V(H2) = Vm x n = 0.1 x 22.4 = 2.24 л
Приложения:
Вас заинтересует
3 года назад
8 лет назад
8 лет назад
11 лет назад
11 лет назад
11 лет назад