• Предмет: Алгебра
  • Автор: FanBratishki
  • Вопрос задан 2 года назад

помогите решить
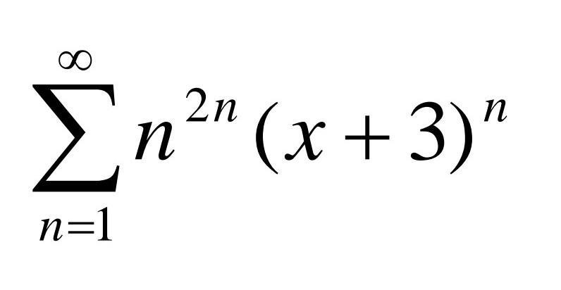
Найти область сходимости степенного ряда​

Приложения:

Ответы

Ответ дал: HSS9860
1

Ответ:

x∈(-4;-2).

Объяснение:

рассмотрите предложенный вариант.

Приложения:
Вас заинтересует