• Предмет: Математика
  • Автор: mishadyakov
  • Вопрос задан 2 года назад

помогите с решением пожалуйста

Приложения:

Ответы

Ответ дал: ildar502020
1

Ответ: x=0.

Пошаговое объяснение:

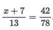
(x+7)/13 = 42/78.

Решение см. скриншот

Приложения:
Вас заинтересует